南开大学2024考研拟录取名单
2024/7/10 14:59:49
来源: 网络
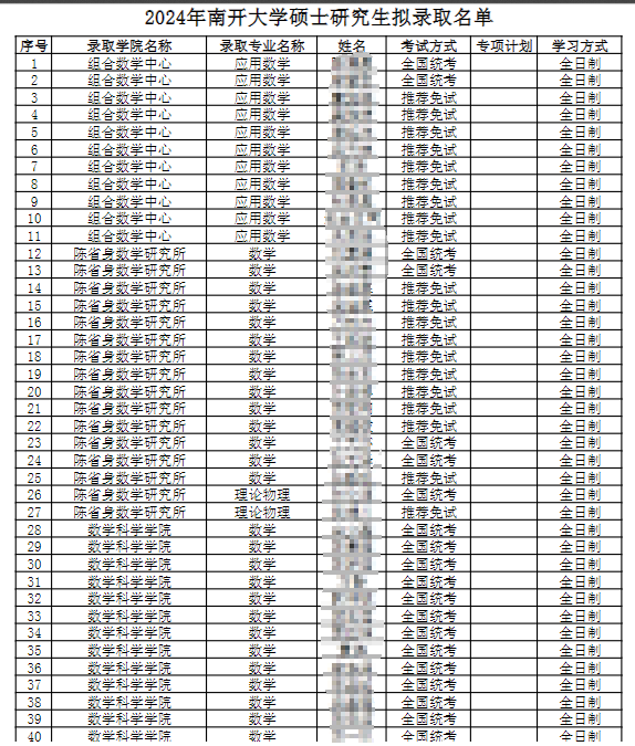
很多考研人都在问2025考研该如何准备?2024研究生考试计划招生多少人?海天考研告诉大家当然是参考往年数据咯!近期,南开大学发布2024考研拟录取名单公示,还在择校的2025同学快来和海天考研梦想集训营老师一起了解一下南开大学往年招生专业安排、复试分数要求及录取人数等。

公告详情:https://yzb.nankai.edu.cn/_t60/2024/0705/c2974a546762/page.htm
考研择校要慎重,准备2025考研的同学们可以提前研究一下往年试题情况和分数情况,多关注考研目标院校动态。海天考研梦想集训营名师提炼核心知识点多维度分析政治、数学、英语、专业课核心考点,强化答题技巧,科学备考1v1合理定制规划,助力2025研究生初试、复试备考,快加入一起复习吧!
又到一年备考季,考研热度依旧居高不下,如何备战研究生初复试?哪个考研院校分数线低?哪个研究生专业更适合自己?在职考研党又该如何分配时间备考?不用慌,考研重难点繁多,择校困难大,和海天考研全程规划老师聊一聊!网课面授多项选,专业课1对1辅导,高三式管理,封闭式集训,备考随时学!

热门推荐






